Last Updated on 2025-07-27 by BallPen
감쇠가 있는 강제진동자의 진동 특성을 알아 봐요.
강제진동자(driven oscillator)란 외부 강제력이 작용하는 조화진동자를 뜻합니다.
일반적으로는 감쇠가 있는 강제진동자라고 불러요. 왜냐면 감쇠가 없는 경우는 이상적으로만 존재할 뿐이니까요.
감쇠가 있는 강제진동자의 진동 변위 \(x(t)\)는 다음 식으로 표현됩니다.
\begin{align*}
x(t) = {{F_0 /m}\over{\sqrt{(\omega_0^2 – \omega^2)^2 + (2 \gamma \omega)^2}}} \exp \big( {i (\omega t – \tan^{-1} {{2 \gamma \omega}\over{\omega_0^2 – \omega^2}})}\big)
\end{align*}
여기서 \(F_0\)는 외부 강제력(구동력)의 최대값, \(m\)은 진동하는 물체의 질량, \(\omega_0\)는 공명진동수, \(\omega\)는 강제력의 진동수, \(t\)는 시간, \(\gamma\)는 감쇠인자를 뜻해요.
상당히 복잡해 보이는 식이지만 차근 차근 알아보고, 마지막으로 강제진동자 실험 동영상을 보시면 완전히 이해할 수 있을 거에요.
그럼 이제부터 시작합니다. 아래는 이번 글의 목차에요.
Contents
1. 감쇠 강제진동자 모형
감쇠가 있는 강제진동자는 우리 주변에 흔히 볼 수 있어요. 예를 들어 울퉁불퉁한 요철을 지나는 자동차, 탈수하는 세탁기, 프로펠러가 도는 헬리곱터 등 다양해요.
감쇠 강제진동자의 모형은 다음 그림과 같아요.
![[그림 1] 강제진동자 모형. 질량 \(m\)인 물체가 유체저항력을 받으면 감쇠가 있는 강제진동자 모형이 됩니다.](https://ballpen.blog/wp-content/uploads/2025/07/Picture1-1024x305.jpg)
그림에서 가장 왼쪽에 원형 바퀴가 있어요. 이 바퀴가 각속도 \(\omega\)로 회전하고 있습니다. 그러면 바퀴와 연결된 축에 의해 가운데 노랑색 물체가 가로방향으로 왕복운동하는 것을 상상할 수 있을거에요.
이때 노랑색 물체는 용수철상수 \(k\)인 용수철과 연결되어 질량 \(m\)인 검정색 물체에 주기적인 강제력을 제공하게 됩니다.
예를 들어 바퀴의 각속도 \(\omega\)가 아주 작은 경우를 생각해 봐요. 검정색 물체의 진폭은 노랑색 물체의 왕복운동 진폭이 그대로 반영될 것임을 이해할 수 있을거에요. 이 진폭의 크기는 용수철에 힘 \(F_0\)가 작용했을 때의 늘어난 길이 \({{F_0}\over{k}}\)와 개념적으로 같아요.
그러므로 진동자에 가하는 주기적 강제력을 \(F=F_0\cos \omega t\)로써 표현할 수 있을 거에요.
여기서 우리가 관심을 두는 것은 질량 \(m\)인 검정색 물체의 진동 변위입니다. 진동 변위가 강제력의 각진동수 \(\omega\)와 시간 \(t\)에 따라 어떻게 달라지는지 알아보도록 해요.
2. 감쇠 강제진동자 운동방정식
2-1. 운동방정식
[그림 1]의 가장 오른쪽에 있는 검정색 물체에 작용하는 알짜 힘 \(\sum F\)을 구하여 뉴턴의 운동 제2법칙에 적용해 봐요.
물체에 작용하는 힘으로는 우선 강제력 \(F_0 \cos \omega t\)가 있어요. 그리고 물체 속도의 반대방향으로 작용하는 선형유체저항력이 있을 것이고, 용수철이 늘어나고 압축된 정도에 따른 복원력이 있습니다.
이 세 힘이 검정색 물체에 작용해요. 그리고 이 알짜힘을 뉴턴의 운동 제2법칙에 적용하면 다음과 같습니다.
\begin{align}
\tag{2-1}
\sum F = {\color{red}{-c {{dx}\over{dt}} – kx + F_0 \cos \omega t = m{{d^2 x}\over{dt^2}}}}
\end{align}
위 식의 빨강색 수식에서 첫번째 항이 유체저항력, 두번째 항이 복원력, 세번째 항이 강제력입니다. 그리고 가장 우변은 \(ma\)를 나타낸 것이죠.
빨강색 수식의 양변을 \(m\)으로 나누고 정리하면 다음과 같아요.
\begin{align}
\tag{2-2}
{{d^2 x}\over{dt^2}} + {{c}\over{m}} {{dx}\over{dt}} + {k \over m}x = {{F_0}\over{m}} \cos \omega t
\end{align}
위 미분방정식을 풀면 진동 변위를 구할 수 있어요. 그런데 위 식에서 만약 우변이 0이라면 상수계수를 갖는 제차 이계 선형 상미분 방정식 형태라는 것을 알 수 있어요. 그런데 우변이 0이 아니므로 이 식은 비제차 이계 선형 상미분 방정식이라고 부릅니다.
식을 약간 변형하기 위해 \({{c}/{2m}}\)를 감쇠인자 \(\gamma\)로 치환하고, 공명진동수 \(\omega_0 = \sqrt{k/m}\)의 관계를 적용하면 (2-2)식은 다음과 같아요.
\begin{align}
\tag{2-3}
{{d^2 x}\over{dt^2}} + 2 \gamma {{dx}\over{dt}} + \omega_0^2 x = {{F_0}\over{m}} \cos \omega t
\end{align}
이런 유형의 미분방정식은 다음과 같은 일반해 \(x(t)\)를 갖습니다.
\begin{align}
\tag{2-4}
x(t) = x_h (t) + x_p(t)
\end{align}
여기서 \(x_h (t)\)는 보조해라고 해서 (2-3)식의 미분방정식에서 우변을 0으로 두었을 때의 해이고, \(x_p(t)\)는 우변의 모양에 따라 결정되는 특성해라고 부릅니다.
그런데 (2-3)식의 우변이 0인 미분방정식 풀이는 미흡감쇠, 임계감쇠, 과다감쇠의 해를 갖는다고 알려져 있어요. 그 중 어떤 해를 적용해도 상관없는데요. 만일 과다감쇠 해로 갖는다고 가정한다면 보조해 \(x_h(t)\)는 다음과 같아요.
\begin{align}
\tag{2-5}
x_h(t) = c_1 e^ {-(\gamma – q)t} + c_2 e^ {-(\gamma + q)t}
\end{align}
한편 (2-3)식의 우변 식으로 주어지는 경우 특성해 \(x_p(t)\)는 다음과 같이 주어집니다.
\begin{align}
\tag{2-6}
x_p(t) = c_3 \cos \omega t + c_4 \sin \omega t
\end{align}
결국 (2-3)식의 미분방정식 해는 (2-5)식과 (2-6)식이 합해진 형태로 주어지게 됩니다.
2-2. 과도상태와 정상상태의 해
감쇠를 갖는 강제진동자의 변위는 (2-3)식의 미분방정식을 풀면 구할 수 있다고 말씀드렸어요. 그리고 그 해는 (2-5)식과 (2-6)식의 덧셈으로 주어집니다.
그런데 여기서 중요한 것은 (2-5)식의 보조해는 얼마의 시간이 지나면 변위가 0으로 가게 되요. 즉 미흡감쇠, 임계감쇠, 과다감쇠는 물체의 변위가 계속 유지되는 것이 아니라 어느 시간이 지나면 평형상태가 되어 버립니다.
이 과정에서 강제진동자의 진동을 과도상태라고 합니다. 이 과도상태가 끝나면 물체는 정상상태로 진동하게 되는데요. 그러면 결국 (2-6)식만이 남게 되요. 결국 (2-6)식이 정상상태 해가 됩니다.
정리하면 과도상태를 지나 정상상태가 되면 (2-3)식의 일반해는 다음과 같아져요.
\begin{align}
\tag{2-7}
x(t) = c_3 \cos \omega t + c_4 \sin \omega t
\end{align}
위 (2-7)식은 진동함수에 해당합니다. 이 식을 보다 일반적인 진동함수인 \(x(t)=A\cos (\omega t – \phi)\)의 형태로 바꾸기 위해서는 (2-7)식의 진동함수를 복소지수함수 형태로 바꾸어 표현하는게 편리해요.
바로 다음 식과 같이요.
\begin{align}
\tag{2-9}
x(t) = A e^{i(\omega t – \phi)}
\end{align}
물론 (2-9)식의 실수부가 진동함수를 표현한다는 것을 꼭 기억해야 해요. (2-9)식에서 미지수는 진동진폭 \(A\), 강제력과 진동사이의 위상차 \(\phi\)입니다. 이제 부터 이를 구해보도록 해요.
[강제력과 진동사이의 위상차 \(\phi\) 구하기]
(2-9)식이 (2-3)식의 일반해이므로 (2-3)식에 대입하고 정리해 봐요.
\begin{align}
\tag{2-10}
\require{cancel}
(i \omega)^2 A {\cancel{e^{i(\omega t – \phi)}}} + 2 \gamma (i \omega) A {\cancel{e^{i(\omega t – \phi)}}} &+ \omega_0^2 A {\cancel{e^{i(\omega t – \phi)}}}\\
&~~~~~~~~~~~~~~={{F_0}\over{m}} e^{i \omega t}\\
&~~~~~~~~~~~~~~={{F_0}\over{m}}{\cancel{e^{i(\omega t – \phi)}}} e^{i \phi}\\
&~~~~~~~~~~~~~~={{F_0}\over{m}} (\cos \phi + i \sin \phi)
\end{align}
그리고 위 식에서 양변의 실수부와 허수부는 서로 같아야 해요. 각각을 분리한 후 아래 식처럼 나누어 봐요.
\begin{align}
\tag{2-11}
\require{cancel}
{{허수부~~{\cancel{{F_0 \over m}}}\sin \phi = 2 \gamma \omega {\cancel A}}\over{실수부~~{\cancel{F_0 \over m}}\cos\phi = (\omega_0^2 – \omega^2){\cancel A}}}
\end{align}
그러면 다음과 같습니다.
\begin{align}
\tag{2-12}
\tan \phi = {{2 \gamma \omega}\over{\omega_0^2 – \omega^2}}
\end{align}
그리고 윗 식을 \(\phi\)에 대해 정리하면 다음과 같아요.
\begin{align}
\tag{2-13}
\phi = \tan^{-1} {{2 \gamma \omega}\over{\omega_0^2 – \omega^2}}
\end{align}
[물체의 진동진폭 \(A\)구하기]
이번에는 (2-11)식의 분자와 분모를 각각 제곱한 후 서로 합해 봐요.
\begin{align}
\tag{2-14}
\Big({{F_0}\over{m}}\cos \phi \Big)^2 + \Big({{F_0}\over{m}}\sin \phi \Big)^2 = \Big((\omega_0^2 – \omega^2)A\Big)^2 + \Big(2 \gamma \omega A\Big)^2
\end{align}
위 식에서 \(\sin^2 \phi + \cos^2 \phi = 1\)의 관계를 이용해 정리하면 다음과 같아요.
\begin{align}
\tag{2-15}
\Big({{F_0}\over{m}}\Big)^2 = \Big((\omega_0^2 – \omega^2)A\Big)^2 + \Big(2 \gamma \omega A\Big)^2
\end{align}
마지막으로 윗 식을 \(A\)에 대해 정리하면 다음과 같아요.
\begin{align}
\tag{2-16}
A = {{F_0 /m}\over{\sqrt{(\omega_0^2 – \omega^2)^2+(2 \gamma \omega)^2}}}
\end{align}
2-3. 감쇠가 있는 강제진동자의 변위
이렇게 해서 미지수 \(A\)와 \(\phi\)를 모두 구했어요. (2-16)식과 (2-13)식을 (2-9)식에 대입하면 정상상태에서 감쇠가 있는 강제진동자의 변위 식을 다음과 같이 구할 수 있어요.
\begin{align}
\tag{2-17}
x(t) = {{F_0 /m}\over{\sqrt{(\omega_0^2 – \omega^2)^2 + (2 \gamma \omega)^2}}} \exp \big( {i (\omega t – \tan^{-1} {{2 \gamma \omega}\over{\omega_0^2 – \omega^2}})}\big)
\end{align}
위 식을 일반적인 진동함수 \(x(t)=A\cos(\omega t – \phi)\)로 표현하고 싶으면 위 식의 실수부만 사용하면 됩니다.
\begin{align}
\tag{2-18}
x(t) = {{F_0 /m}\over{\sqrt{(\omega_0^2 – \omega^2)^2 + (2 \gamma \omega)^2}}} \cos \Big( \omega t – \tan^{-1} {{2 \gamma \omega}\over{\omega_0^2 – \omega^2}}\Big)
\end{align}
3. 강제진동자의 진동 변위 특성
3-1. 진동 진폭
(2-17) 또는 (2-18)식을 보면 강제진동자의 진동진폭은 상수가 아닙니다. 바로 강제력의 각속도 \(\omega\)에 의존하는 것을 알 수 있어요.
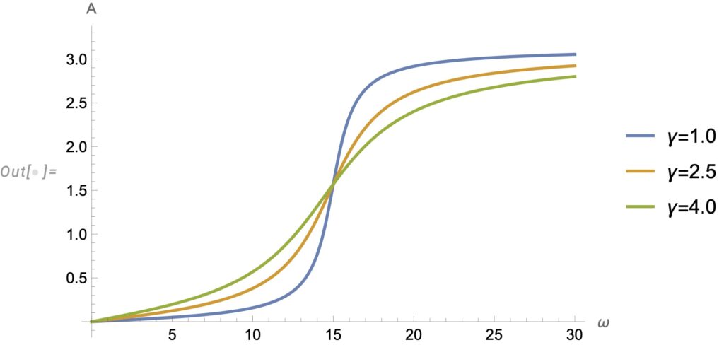
그래서 각속도 \(\omega\)의 함수로서 진동진폭 \(A\)를 그래프로 그려보면 다음과 같아요.
![[그림 2] '감쇠 강제진동자'의 \(\omega\)에 따른 진동 진폭 곡선](https://ballpen.blog/wp-content/uploads/2025/07/amplitude-1024x503.jpg)
[그림 2]는 \(F_0 =m=1\), \(\omega_0=15\)하에서 감쇠인자 \(\gamma\)를 1.0, 2.5, 4.0으로 변화시킬 때 \(\omega\)의 함수로서 진동진폭의 변화를 나타낸 거에요.
그림과 같이 진동 진폭은 공명진동수 \(\omega_0\)에서 가장 크다는 것을 알 수 있어요. 또한 감쇠력의 크기를 결정하는 감쇠인자 \(\gamma\)가 커질수록 최대 진폭은 점점 작아지고 봉우리가 왼쪽으로 이동해 가는 것도 관찰할 수 있어요.
3-2. 강제력과 진동의 위상차
강제력과 물체 진동 사이의 위상차는 각속도 \(\omega\)의 함수로서 위상차 \(\phi\)를 그래프로 그려보면 알 수 있어요.
아래 [그림 3]은 바로 그 결과에요.
![[그림 3] '감쇠 강제진동자'의 \(\omega\)에 따른 위상 곡선](https://ballpen.blog/wp-content/uploads/2025/07/phase-1024x488.jpg)
그림과 같이 공명진동수 \(\omega_0\)에서 위상이 \( \pi / 2 \)로 달라지고 그 이상의 각진동수에서 위상이 \(\pi\)만큼 어긋나는 것을 관찰할 수 있습니다.
특히 중요한 것은 감쇠인자가 달라지더라도 위상이 \( \pi / 2 \)만큼 달라지는 위치는 공명진동수 \(\omega_0\)라는 거에요. [그림 2]에서 감쇠인자가 달라질 때 최대 봉우리가 왼쪽으로 이동하는 현상과는 달라요.
이 특성들에 대해 더 구체적으로 이해하기 위해서는 아래 동영상을 참고하면 좋습니다.
4. 강제진동자 실험 동영상
아래 버튼에 링크된 동영상은 강제진동자 실험 동영상이에요.
위 동영상을 보시면 [그림 1]과 같은 형태의 진동자를 볼 수 있는데요. 다른 점이라면 [그림 1]은 수평방향으로 물체가 진동하고, 동영상에서는 수직방향으로 용수철에 매달린 물체(디스크)가 진동한다는 거에요.
나머지는 모두 같습니다.
동영상에서, 강제력의 각진동수 \(\omega\)가 공명진동수 \(\omega_0\)보다 작을 때(Below Resonance) 강제력 전달 축이 위로 올라가면 물체도 위로 올라가고 전달 축이 아래로 내려오면 물체도 아래로 내려오는 위상 일치(In Phase)현상을 볼 수 있어요. 그리고 이 때 물체의 진동진폭은 작아요.
하지만 강제력의 각진동수 \(\omega\)가 공명진동수 \(\omega_0\)와 일치할 때(At Resonance)에는 강제력 전달 축과 물체 진동사이의 위상이 \(\pi/2=90^{\rm o}\)만큼 어긋나며, 진동진폭은 매우 크다는 것을 알 수 있어요. 즉, 공명조건에서 진동 진폭은 최대가 됩니다.
마지막으로 강제력의 각진동수 \(\omega\)가 공명진동수 \(\omega_0\)보다 클 때(Above Resonance) 강제력 전달 축이 위로 올라가면 물체는 아래로 내려오고 전달 축이 내려오면 물체가 위로 올라가 위상이 \(\pi=180^{\rm o}\)만큼 어긋나는 것(Out of Phase)을 볼 수 있습니다. 진폭은 공명진동수에서보다 작아지는 것을 관찰할 수 있어요.
이상의 결과는 바로 [그림 2]와 [그림 3]의 결과와 같다는 것을 알 수 있습니다.







