여각 공식(cofunction Identity)
5 (1)

삼각함수의 여각공식에 대해 알아 봐요. 1. 여각 공식 어느 각도를 라할 때 이 각도의 여각(complementary angle)은 입니다. 그래서 어느 각과 그 여각을 합하면 아래 (1)식처럼 rad이 되는 거에요. 그런데 이러한 여각끼리의 관계가 삼각함수에서 항등식으로 나타나는 경우가 있습니다. [그림 1]의 직각삼각형이 있을 때 직각을 제외한 한 각도를 라 하면 나머지 한 각도 은 가 되어 여각이 … Read more

피타고라스 삼각 항등식
5 (2)

피타고라스 삼각 항등식을 증명해 봐요. 피타고라스 삼각 항등식(Pythagorean trigonometric identity)을 증명해 보겠습니다. 아래는 이 글의 목차입니다. Contents1. 피타고라스 항등식2. 피타고라스 삼각 항등식2-1. 첫번째 식2-2. 두번째 식 1. 피타고라스 항등식 좌표평면위에서 빗변의 길이가 인 직각삼각형에 피타고라스(Pythagoras) 정리를 적용하면 다음과 같습니다. 그리고 , 를 (1)식에 대입하면 다음과 같습니다. 이 식을 정리하면 다음의 피타고라스 기본 항등식이 유도됩니다. 2. … Read more

우함수와 기함수
5 (1)

함수의 대칭성을 표현하는 우함수(짝함수)와 기함수(홀함수)에 대해 명확히 구분해 봐요. 우함수와 기함수 개념은 함수의 대칭성을 기준으로 구분합니다. 이에 대해 자세히 알아 봐요. Contents1. 우함수(Even Function, 짝함수)2. 기함수(Odd Function, 홀함수)3. 요약 1. 우함수(Even Function, 짝함수) 우함수는 그래프가 y축에 대해 대칭인 함수예요. 쉽게 말해 y축을 중심으로 데칼코마니처럼 접으면 완전히 겹쳐지는 모양이죠. 2. 기함수(Odd Function, 홀함수) 기함수는 그래프가 원점에 대해 대칭인 … Read more

일계 미분 곱셈 규칙 : 벡터 미분 연산자
5 (1)

벡터 미분 연산자를 이용한 일계 미분의 몇가지 곱셈 규칙을 알아 봐요. 일계 미분 곱셈 규칙 몇가지를 알아 봐요. 전자기학 등을 공부할 때 자주 등장하는 규칙들이에요. 참고로 몇가지 이계 미분 곱셈 규칙도 있으니 이것이 궁금하면 링크를 클릭하시기 바랍니다. 벡터 미분 연산자(또는 델연산자)가 사용된 일계 미분 곱셈 규칙은 다음과 같아요. 여기서 와 는 스칼라 함수이고 와 는 … Read more

(ax^2+bx+c)^(-1/2)의 적분
5 (1)

재미있는 적분 문제 하나를 풀어 보도록 해요. 과학을 하다보면 여러 적분 문제를 풀게 되는데요. 그중에서 아래 문제가 어떻게 풀어지게 되는지 구해보도록 해요. 이때 \(a<0\)으로 가정하겠습니다. \begin{align}\int{{1}\over{\sqrt{ax^2 + bx +c}}}dx = {1 \over{\sqrt{-a}}} \Big(\cos^{-1}\big(-{{b+2ax}\over{\sqrt{b^2 -4ac}}}\big)\Big) + C\end{align} 그리고 윗 식에서 대문자 \(C\)는 적분상수입니다. [풀이] \(P\)로 주어진 다음 적분을 풀어 봐요. \begin{align}\tag{1}P=\int{{1}\over{\sqrt{ax^2 + bx +c}}}dx\end{align} 먼저 위 … Read more

사인과 코사인 곱의 적분
5 (1)

사인과 코사인 곱을 한 주기에 걸쳐 적분해 봐요. 사인과 코사인 곱의 적분 계산을 위해서는 부분적분법을 사용하면 편리해요. 1. 부분적분법 부분적분법 공식은 다음과 같아요. \begin{align}\tag{1}\int_a^b u {v}’ d \theta = \Big[uv\Big]_a^b – \int_a^b u’ v d\theta \end{align} 2. 사인과 코사인 곱의 적분 이제 사인과 코사인 곱의 적분을 알아 봐요. 즉, 다음의 적분을 계산해 보자는 거에요. \begin{align}\tag{2}\int_0^{2\pi} … Read more

코사인 제곱 함수 적분
5 (1)

한 주기에 걸친 코사인 제곱 함수의 적분을 계산해 봐요. 코사인 제곱 함수 적분 방법을 알아 봐요. 즉, 다음의 적분을 계산해 보자는 거에요. \begin{align}\tag{1}\int_0^{2\pi} \cos^2 \theta d \theta\end{align} 이 계산을 위해서는 코사인 두배각 공식을 적용하는게 좋아요. 그 공식은 다음과 같아요. \begin{align}\tag{2}\cos 2 \theta = 2 \cos^2 \theta -1\end{align} 위 (2)식을 \(\cos^2 \theta\)에 대해 풀면 다음과 같아요. … Read more

사인 제곱 함수 적분
5 (1)

한 주기에 걸친 사인 제곱 함수의 적분을 계산해 봐요. 사인 제곱 함수 적분 방법을 알아 봐요. 즉 다음의 적분을 계산해 보자는 거에요. \begin{align}\tag{1}\int_0^{2 \pi} \sin^2 \theta d\theta\end{align} 이 계산을 위해서는 코사인 두배각 공식을 이용하는게 좋아요. 코사인 두배각 공식은 다음과 같아요. \begin{align}\tag{2}\cos2\theta = 1- 2 \sin^2 \theta\end{align} 위 (2)식을 \(\sin^2 \theta\)에 대해 풀면 다음과 같아요. \begin{align}\tag{3}\sin^2 … Read more

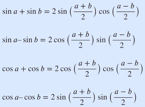
삼각함수 합 또는 차를 곱으로 바꾸는 공식
5 (1)

삼각함수 합 또는 차를 곱으로 바꾸는 공식을 유도해 봐요. 삼각함수 합 또는 차를 곱으로 바꾸는 공식입니다. \begin{align*}&\sin a + \sin b = 2 \sin \big({{a+b}\over{2}}\big) \cos\big({{a-b}\over{2}}\big)\\[10pt]&\sin a – \sin b = 2 \cos \big({{a+b}\over{2}}\big) \sin\big({{a-b}\over{2}}\big)\\[10pt]&\cos a + \cos b = 2 \cos \big({{a+b}\over{2}}\big) \cos\big({{a-b}\over{2}}\big)\\[10pt]&\cos a – \cos b = 2 \sin \big({{a+b}\over{2}}\big) \sin\big({{a-b}\over{2}}\big)\\\end{align*} 이 글에서는 … Read more